topcable.co.kr

CUSTOMER

CUSTOMER

¡å

  • Home
  • Customer
  • LME½Ã¼¼&±â¼úÀÚ·á

LME½Ã¼¼&±â¼úÀÚ·áCUSTOMER

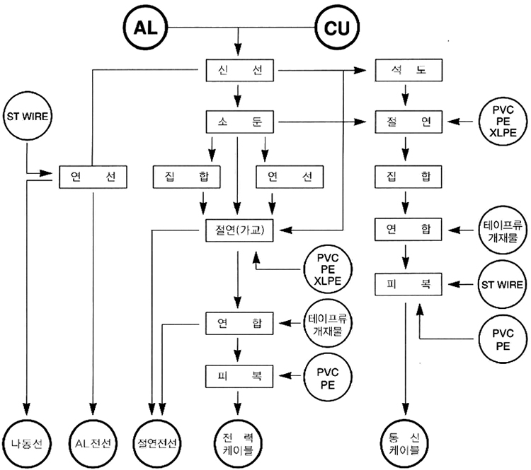
Á¦¸ñ ¢À ÄÉÀ̺í Á¦Á¶ °øÁ¤µµ
ÀÛ¼ºÀÏÀÚ 2019-08-08


                                                                                                       

Àü¼±•ÄÉÀ̺í Á¦Á¶ °øÁ¤µµ
 







÷ºÎÆÄÀÏ